Table of Contents Table of Contents
Previous Page  251 / 403 Next Page
Information
Show Menu
Previous Page 251 / 403 Next Page
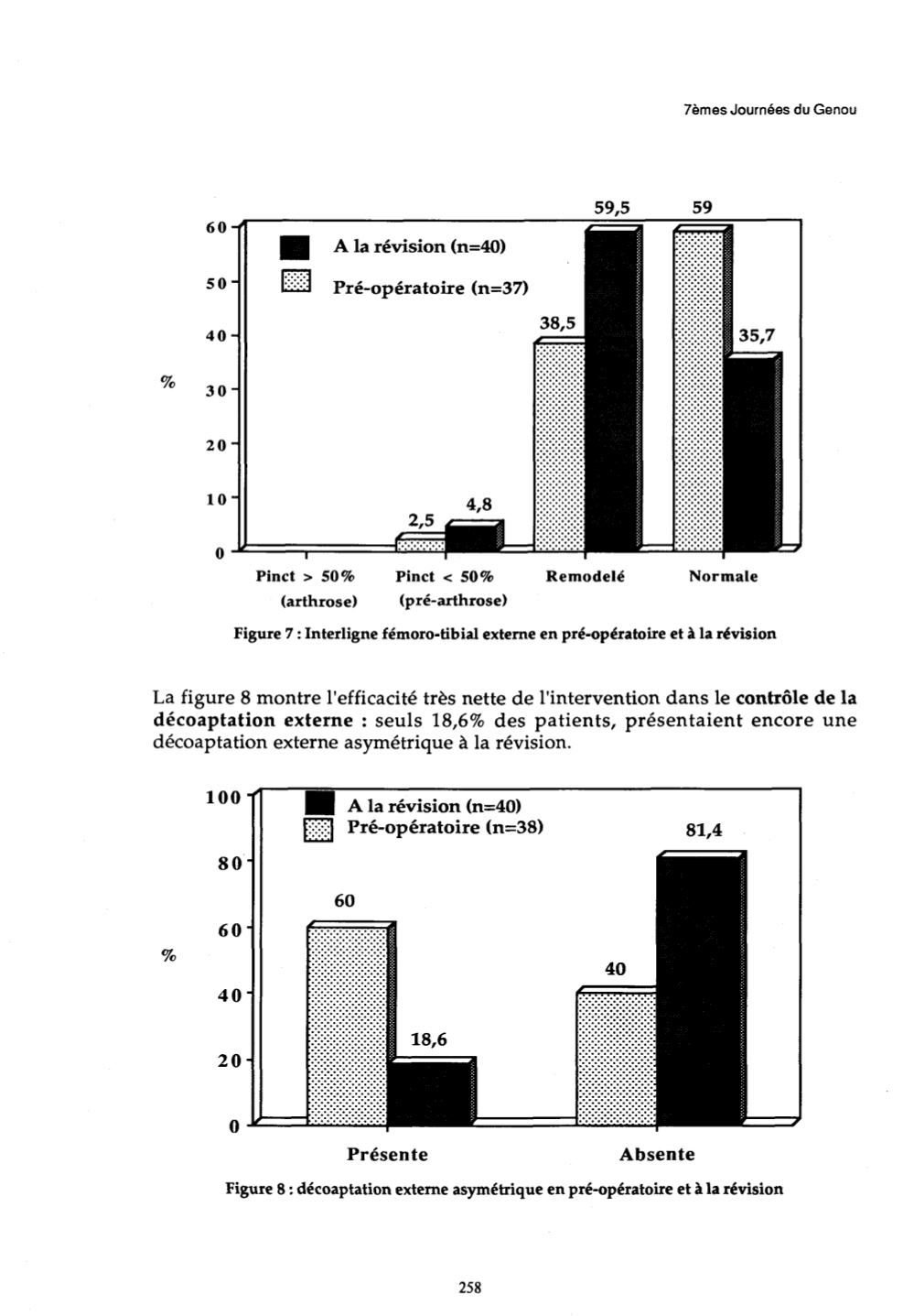
Page Background